Determination of Total Sulfur by UVF According to ASTM D5453
Sulfur is a natural present element in nearly all hydrocarbon feed streams and responsible for numerous unwanted effects such as detrimental product quality, catalyst poisoning and pollution of the ecosystem. Therefore, it becomes necessary to quantify and monitor the sulfur content in almost every stage of the industry´s operations, or for final product specification or regulatory control.
Total analysis of the Sulfur content in hydrocarbons by combustion and UV fluorescence detection has become the orthodox method to characterize feedstock, intermediate streams and finished hydrocarbon products due to its linearity, sensitivity, ruggedness and dynamic range.
ASTM D5453 is an orthodox test method to ascertain the total sulfur in liquid hydrocarbons containing 1.0 to 8000 mg/kg total Sulfur, which boil in the range from approximately 25 °C to 400 °C and with viscosities at room temperature of between approximately 0.2 and 20 cSt (mm2/S). This method of testing also has applications in determining the total sulfur in liquid hydrocarbons which contain fewer than 0.35% (m/m) halogen(s).

Measuring Principle
A hydrocarbon liquid sample is directly injected by a completely automated liquid sampler into a high-temperature, dual-temperature zone combustion tube wherein sulfur components are combusted and vaporized. The released sulfur is oxidized to sulfur dioxide (SO2) in an oxygen-rich atmosphere.

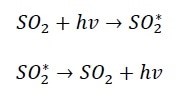
A stream of inert gas (argon or helium) carries the reaction products after the produced water vapor is removed into a reaction chamber. In this chamber, the SO2 molecules are converted to excited through the absorption of energy of a UV lamp and emitting light (fluorescence) while it settles into a stable state.

The emitted light signal is measured by a Photomultiplier tube.
To calculate the area, the response signal is integrated. The linear regression function of the concentration of standard mixtures versus integrated area can be used to calculate the sulfur concentration of an unidentified product.

Validation
To provide validation of its performance according to ASTM D5453, the system and methodology of the Antek ElemeNtS total sulfur analyzer is rigorously tested for response linearity, sample scope, recovery and repeatability.
Calibration
Calibration curves are generated using tert-Butyl-di-Sulfide in o-Xylene standards. Each of the calibration solutions and blanks (o-Xylene) are measured three times. The average response of the blank injections is subtracted from each calibration standard response conform method. Although the ElemeNtS system is linear in response, ranging from 0 – 1000 ng/µL (figure 1), separate calibration curves have been produced according to the proposed ranges in ASTM D5453 (Figure 2,3,4).
Table 1. Response values
| Concentration ng/µL | Avg Area counts |
| 1.022.17 | 7073493 |
| 780 .20 | 5420778 |
| 515 .28 | 3587715 |
| 264 .37 | 1844192 |
| 102 .16 | 715151 |
| 78 .00 | 543926 |
| 51 .73 | 358257 |
| 25 .88 | 182531 |
| 10 .31 | 70464 |
| 7.81 | 53266 |
| 5.20 | 35585 |
| 2.60 | 18343 |
| 1.03 | 7599 |
| 0.52 | 4214 |
| – | 834 |

Figure 1. Full range Calibration curve covering typical range of ASTM D5453

Figure 2. Curve I (0,5-10 ng/µL)

Figure 3. Curve II (5-100 ng/µL)

Figure 4. Curve III (100-1000 ng/µL)
Sample Scope
Various kinds of samples were chosen to cover the boiling point range of the scope of the method (Gasoline BOB, Reformulated Gasoline, E85, Diesel B7, Jet fuel,heating oil). Each sample is measured three times to gain one result, and the average detector response is calculated. A comparison is then made between the results and the consensus values retrieved during a Proficiency Testing Program (PTP). Each sample result falls within the ASTM D5453 reproducibility limits (table 2).
Table 2. Overview of sample results, compared with consensus values of PTP.
| AC part # | Type | PTP mean (mg/kg) | Result (mg/kg) | Delta | D5453 R/v2 |
| 00.02.729 | Diesel B7 | 9.4 | 10.2 | 0.8 | 2.2 |
| 00.02.730 | E85 | 1.7 | 1.7 | 0 | 0.6 |
| 00.02.732 | Jetfuel | 507 | 523 | 16 | 45 |
| 00.02.733 | Gasoline Enhanced | 4.4 | 5.0 | 0.6 | 1.3 |
| 00.02.734 | Gasoline BOB | 2.6 | 3.3 | 0.7 | 0.8 |
| 00.02.735 | Diesel B7 | 9.6 | 10.5 | 0.9 | 2.2 |
| 00.02.736 | Jetfuel | 168 | 181 | 13 | 19 |
| 00.02.737 | Heating oil | 29 | 30 | 1 | 5.2 |
Recovery/Bias
Two NIST typical reference materials (SRM) were analyzed to ascertain the bias, which is discussed in ASTM D5453-16, chapter 15.2. The samples selected were gasoline SRM 2298 (4.7 mg/kg ± 1.3 mg/kg), and diesel SRM 2723a (11 mg/kg ± 1.1 mg/kg).
The recorded variations between the determined values and the ARV (Accepted Reference Values) of the NIST standards are comfortably within the NIST uncertainty limits (Table 3). In Figure 5, a representation of the injection signal of NIST SRM 2298 and 2723a can be seen.

Figure 5. Overlay NIST SRM 2298 and SRM 2723a signal (n=10)
Table 3. Comparison of NIST and analysis results
| NIST SRM | 2298 | 2723a |
| Matrix | Gasoline | Diesel |
| Sulfur mg/kg NIST | 4.7 ( ±1.3) | 11.0 (±1.1) |
| Sulfur mg/kg Measured | 4.3 | 11.1 |
| Observed Difference mg/kg | 0.4 | 0.1 |
| Within NIST uncertainty limits | Yes | Yes |
Repeatability
In total, sulfur analysis area is the primary measurement. The accuracy in which it is measured is ultimately responsible for how valid the generated quantitative data is. Area accuracy necessitates that every operational condition is precisely controlled. Moreover, the flow path’s inertness can significantly impact area accuracy, particularly for low-level sulfur components.
Concentration repeatability for the ElemeNtS total sulfur analyzer is measured for 10 consecutive runs on two NIST reference samples. Repeatability standard deviation of total sulfur falls comfortably within ASTM D5453’s precision statement.
Table 4. Repeatability values of NIST 2298 and 2723a reference material
| Run | NIST 2298 | NIST 2723a |
| mg/kg S | mg/kg S | |
| 1 | 4.25 | 11 .16 |
| 2 | 4.35 | 11 .11 |
| 3 | 4.38 | 11 .13 |
| 4 | 4.35 | 11 .10 |
| 5 | 4.33 | 11 .10 |
| 6 | 4.42 | 11 .09 |
| 7 | 4.33 | 11 .07 |
| 8 | 4.38 | 11 .08 |
| 9 | 4.32 | 11 .07 |
| 10 | 4.31 | 11 .07 |
| Average | 4.34 | 11 .10 |
| Standard deviation (SD) | ||
| Measurement | 0.048 | 0.02 9 |
| Method SD (r D5453/2.77) | 0.21 | 0.39 |
| Relative standard deviation (RSD) | ||
| Measurement | 1.10% | 0.26% |
| Method RSD (r D5453 /2.77)/mean | 4.36% | 3.54% |
Conclusion
These results show that the ElemeNtS analyzer is a strong instrument for the determination of sulfur in light hydrocarbons, engine oil, spark ignition engine fuel, and diesel engine fuel. This is based on the analyzer’s exceptional calibration linearity, low limit of detection, superb recovery and repeatability.
The Antek ElemeNtS total Sulfur analyzer meets the requirements of the ASTM D5453.

Featured Products
